×nc較正および測定された相組成:4つの調査された合金におけるCおよびC-phase(-CCおよびCC&)の組成を3D APT(ERBO 1)[36]およびTEM \\で測定した。 NEDX(Erbo 15と誘導体)[32]。 2つの相についての実験結果を表7(C&phase)および8(C--相)に示す。表7および8はまた、1413Kおよび1583Kの1143K(全合金についての第2の沈殿処理工程の温度)のために得られたサーモカッカ予測を含む(それぞれERBO-1;それぞれ第1の沈殿処理工程および均質化)およびAT 1313 Kおよび1583 K(Erbo&15変異体;それぞれ第一沈殿処理工程および均質化の温度)。 C/phaseはC/phaseよりも小さいボリューム分率を示すので、その化学組成の変化はより顕著です。図1および図2において、No。図10および図11を参照すると、表7からのC-phaseのための化学的組成物が円グラフとして表現されている。図10は実験データを示し、これはクリープの前に4つの熱-reteated合金の全てで測定された。 ERBO&1(1143,1413、および1583K)のC-phasesについて得られたThermocalc予測、およびERBO-15(1143,1313および1583K)を図11に示す。11.-//
表7および図7に示されているデータを参照する。10および11(C phase)および表8(C phase、グラフィックなしのデータが提示されているデータ)は、温度が上昇すると、Ti、AlおよびTaの量が増加し、同時にCr、Co、WおよびReの量が増加することを示している。 C-PhaseのERBO-1の場合。図1に示されているサーモカッカーの結果に見られるように。図11に示すように、ベース要素Niの量は、ErbO&1の温度が上昇するにつれて増加している。対照的に、それはERBO/15の温度の上昇と共に減少します。-// テーブル7(および図10と11)と表のCPhasesのためのC-Phasesそれぞれ、それぞれ、1143Kのサーモカーコート(実験用合金の最後の降水処理の温度)および実験的に決定されたデータが全契約ではなく、両方の合金系に対して互いに合理的に近いことを示している。 ERBO-15の場合にのみ、要素MOは、実験(4.4AT。%)よりも1143K(1.0 at。%)での計算において著しく低い値を示しています。&/
1とErbo15の弾性的な振る舞いはほとんど同じです、//101です。C11とC12のためのLeanのErbo&15の亜種がわずかに短くなります。これは、弾性モジュラスE \\ 100 [すべて非常に近い)に大きな影響を与えません(図6D)。表9に見られるように、Sxの個々の合金要素は、サイズ、結晶構造、ヤング率、電気陰性および融点で異なる[48-51]。図6Dは、本研究で検討されている合金化学の変化が弾性特性に強く影響を与えないことを示している。これはDemtrošderらによって描かれた結論に沿っています。なぜが、本研究で考慮されるよりも考慮されているものよりも多くのより大きな変動がSXの弾性特性に強く影響を与えないことを示した。単結晶の弾性挙動は、その接合システムの異方性を直接反映する。後者は、主に結晶構造中の最も近い#neighbourコンタクトの種類、数および空間的配置によって制御される。 Ni/base SX(C-c '-微細構造を含む)の構造、ならびにそれらの主化薬組成物([62 at。/%Al)の構造はわずかに異なるだけで、相互作用が異なるNI-NIおよびNI-ALコンタクトによって支配されており、巨視的弾性剛性のわずかな変動のみがあります[42]---
thermal展開とC
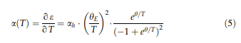
:熱膨張は、温度が上昇するにつれてその体積を変えるための材料の傾向に関連しています。結晶中では、これは、格子電位の原子の振動エネルギーおよび非Harmonic形状に関連する。 GRU2-ニーゼン関係によると、A'T2は熱容量に比例する。したがって、サーマルストレインe∈T∞は、Einstein Modelの統合型によって&--であり得る[52,53]:

-


職名: Product manager
部門: Market Department
会社の電話番号: +86 021-59150215
Eメール: お問い合わせ
携帯電話: +86 13817160919
ウェブサイト: lanzhusuperalloy.b2bjp.com
住所: No. 2800 Caoxin Road, Xuhang Town, Jiading District, Shanghai